| 일 | 월 | 화 | 수 | 목 | 금 | 토 |
|---|---|---|---|---|---|---|
| 1 | ||||||
| 2 | 3 | 4 | 5 | 6 | 7 | 8 |
| 9 | 10 | 11 | 12 | 13 | 14 | 15 |
| 16 | 17 | 18 | 19 | 20 | 21 | 22 |
| 23 | 24 | 25 | 26 | 27 | 28 | 29 |
| 30 |
Tags
- 파이토치
- 팀프로젝트
- 딥러닝 스터디
- 파이토치 김성훈 교수님 강의 정리
- 해리스 코너 검출
- c언어
- MFC 프로그래밍
- pytorch
- C언어 공부
- 가우시안 필터링
- 모두의 딥러닝 예제
- c언어 정리
- c++
- 케라스 정리
- Pytorch Lecture
- 딥러닝
- 파이토치 강의 정리
- matlab 영상처리
- pytorch zero to all
- 골빈해커
- c++공부
- 미디언 필터링
- 딥러닝 공부
- 김성훈 교수님 PyTorch
- 컴퓨터 비전
- TensorFlow
- 영상처리
- 모두의 딥러닝
- object detection
- tensorflow 예제
Archives
- Today
- Total
ComputerVision Jack
EfficientNet: Rethinking Model Scaling for Convolutional Neural Networks 본문
Reading Paper/Classification Networks
EfficientNet: Rethinking Model Scaling for Convolutional Neural Networks
JackYoon 2022. 1. 4. 10:37반응형
EfficientNet: Rethinking Model Scaling for Convolutional Neural Networks
Abstract
- 논문의 저자는
Model Scaling방법을 연구하고 Network의Depth,Width,Resolution사이의 균형이 더 좋은 성능을 이끈다는 것을 확인한다. - 이러한 관점에서 입각하여, 새로운 Scaling Method 제안한다. 간단하지만 효과적인
Compound Coefficient사용하여 Depth/Width/Resolution의 모든Dimension균등하게 확장한다. - Neural Network Search (NAS) 사용하고 새로운 Baseline Network 설계한다. 그리고 크기를 확장하여 같은 성질을 갖는 Networks 구축하고 EfficientNets 부른다. 해당 Networks는 이전의 ConvNets 보다 더 정확하고 효율적이다.
Introduction

- ConvNet의 크기를 확장하는 방법은 정확도를 달성하기 위해 사용되었다. 그러나 이 과정은 잘 알려져 있지 않았고, 이를 위한 많은 방법들이 존재한다.
- 가장 흔한 방법은 ConvNet의
Depth조절하는 방법이다. 또 다른 방법은 Iamge의Resolution늘린다. - 비록 마음대로 (Depth/Width/Resolution) 2개 또는 3개의 Dimension 늘리는 것은 가능하지만, 이런 방식은 반복 작업이 필요로 하고, 차선의 정확성과 효율성을 생산하는 경우가 많다.
- 저자들은
Scaling up과정에 대해 다시 생각하였고, ConvNets 정확도와 효율성을 달성하기 위한 원칙 방법을 조사하였다. 그 결과 (Width/Depth/Resolution)에 대한 Balance가 핵심이며, 간단한Constant Ratio통해 달성할 수 있다. - Compound Scaling Method (고정된 Scaling Coefficients에 대해 균일하게 3dims 조절하는 방법)
- Compound Scaling Method 당연한 방법이다. 왜냐하면 Image의 Input이 커질 수록 Receptive Field에 대해 더 많은 Layer 필요하며 Pattern 잡기 위해 더 많은 Channel이 필요하기 때문이다.
- Efficient-B7 경우 존재하는 GPip 정확도를 능가하면서
8.4x더 적은 Parameter 사용하며 Inference 속도가 빠르다.

Compound Model Scaling
- 다른 접근 방식으로 Scaling 문제를 공식화 한다. 그리고 새로운 Scaling 방법을 제안한다.
Problem Formulation
- ConvNet Layers 여러 단계로 분할 되고 각 단계의 모든 Layer 동일한 Architecture 공유한다.
$Ν = ΘF_i(X_{H_i,W_i,C_i})$
- 가장 좋은 Layer Architecture F(x) 찾는 것을 집중하는 기존 ConvNet과 달리, Baseline Network의 F(x) 고정하고
length(L),width(C),resolution(H, W)변경한다. - F(x) 고정하면서, 새로운 제약 조건에 대해 Model Scalings 방법은 간단하게 만들어 설계 문제를 해결 할 수 있다. 그러나 여전히 각 Layers 대해 많은
Design Space가 남아있다. - 이러한 Design Space 줄이기 위해, 모든 Layer가 Constant Ratio에 균등하게 조정될 수 있도록 제한한다.

Scaling Dimensions
- 위 수식에서 가장 큰 문제는 d, w, r에 대해 서로 의존적이며 다른 제한 조건에 의해 각 변수가 변경된다는 점이다.
Depth (d) :
- Network의
Depth조절 하는 방법은 많은 ConvNet에서 흔한 방법이다. 직관적으로 ConvNet이 깊어질 수록 더 많고 복잡한 Feature-map 확인 할 수 있고 Task에 대해 일반화가 잘 된다. - 그러나 Network가 깊어질 수록
Vanishing Gradient문제가 발생하고 이를 해결하기 위한 방법들이 따라왔다. (Skip Connection etc) - 넓은 Network는 더 많은 정제된 Feature-map 볼 수 있고 학습하기도 쉽다. 그러나 넓고 얇은 Network는 더 높은 단계의 Feature-map 확인 할 수 없다.
Resolution (r) :
- 높은 해상도인 Input Image에 대해, ConvNets 더 많은 정제된 Patterns 볼 수 있다.
- 224 x 224 시작하여 현재 ConvNet은 299(331) x 299(331) 사용하는 경향도 있다.


Compound Scaling
- 직관적으로 높은 해상도의 이미지가 있다면, Network Depth 증가 시켜야 한다. 그래야 큰 Receptive Field는 큰 이미지 픽셀에 대해 비슷한 Feature 추출할 수 있다.
- 이와 상응하여 Network의 Width 증가 하였다. 이러한 관점들은 단일 Dimension Scaling 보다 여러 Diemension에 대한 Balance 제안한다.
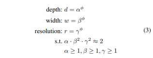
- 따라서
Compound Scaling Method제안한다. 이 방법은Compound coefficient Φ사용하여 Network (width/depth,resolution) 조절한다.

α,β,γ상수는 small grid search에 대해 결정된다. 직관적으로Φ는 Model Scaling에 사용할 수 있는 자원을 제어 하는 user-specified coefficient 이며, α, β, γ는 Network의 width, depth, resolution에 자원을 할당하는 방법을 말한다.
EfficientNet Architecture

- Baseline Network의 Layer Operators F(x)는 Model Scaling에서 고정되기 때문에 좋은 Baseline Network 획득하는 것이 중요하다. 이에 대해 NAS 통하여 선정하였다.
- 해당 연구는 EfficientNet-B0 효율적인 Network 생산한다. 같은 Search Space 탐색 했기 때문에 해당 구조는 MnasNet과 비슷하지만, EfficientNet-B0가
FLOPstarget 때문에 약간 더 크다. - Main Block은
Mobile Inverted Residual Bottleneck사용하였으며,Squeeze-and-Excitation module또한 사용하였다.
STEP 1 → Φ = 1 고정한 상태에서 α, β, γ 찾는다.
STEP 2 → 찾은 α, β, γ에 대해서 Φ 값을 변경한다.
Conclusion
- 정확도와 효율성을 유지하면서 Network의 width, depth, resolution의 Balance 설정하는 방법을 연구하였다.
- Compound Scaling Method 제안하고, 쉽게 자원 제약 없이 Model Scaling 진행 할 수 있다. 제작한 EfficientNet Model은 효과적으로 Scaling 될 수 있다.
import torch
from torch import nn
class Make_Layers(nn.Module):
def __init__(self, layers_configs):
super(Make_Layers, self).__init__()
self.layers_configs = layers_configs
self.layer = self.MBConv(self.layers_configs)
def forward(self, input):
return self.layer(input)
def MBConv(self, layers_configs):
layers = []
for b, i, k, o, s in layers_configs:
if b == 1:
layers.append(MBConv1(in_channels=i, kernel_size=k, out_channels=o, stride=s))
else:
layers.append(MBConv6(in_channels=i, kernel_size=k, out_channels=o, stride=s))
return nn.Sequential(*layers)
class MBConv1(nn.Module):
def __init__(self, in_channels, kernel_size, out_channels, stride):
super(MBConv1, self).__init__()
self.conv_act = Conv2dBnAct(in_channels=in_channels, out_channels=in_channels, kernel_size=1, stride=1, dilation=1,
groups=1, padding_mode='zeros', act=Swish())
self.dconv = DepthwiseConvBnAct(in_channels=in_channels, kernel_size=kernel_size, stride=1, dilation=1,
padding_mode='zeros', act=Swish())
self.se = SE_Block(in_channels=in_channels)
self.conv_bn = Conv2dBn(in_channels=in_channels, out_channels=out_channels, kernel_size=1, stride=stride)
self.res_module = Conv2dBnAct(in_channels=in_channels, out_channels=out_channels, kernel_size=1, stride=1)
self.stride_module=nn.Conv2d(in_channels=in_channels, out_channels=out_channels, kernel_size=1, stride=stride)
def forward(self, input):
output = self.conv_act(input)
output = self.dconv(output)
output = self.se(output)
output = self.conv_bn(output)
if input.size()[1] != output.size()[1]:
input = self.res_module(input)
if input.size()[2] != output.size()[2]:
input = self.stride_module(input)
output = input + output
return output
class MBConv6(nn.Module):
def __init__(self, in_channels, kernel_size, out_channels, stride):
super(MBConv6, self).__init__()
self.conv_act = Conv2dBnAct(in_channels=in_channels, out_channels=in_channels, kernel_size=1, stride=1,
groups=1, padding_mode='zeros', act=Swish())
self.dconv = DepthwiseConvBnAct(in_channels=in_channels, kernel_size=kernel_size, stride=1, dilation=1,
padding_mode='zeros', act=Swish())
self.conv_bn = Conv2dBn(in_channels=in_channels, out_channels=out_channels, kernel_size=1, stride=stride)
self.res_module = Conv2dBnAct(in_channels=in_channels, out_channels=out_channels, kernel_size=1, stride=1)
self.stride_module=nn.Conv2d(in_channels=in_channels, out_channels=out_channels, kernel_size=1, stride=stride)
def forward(self, input):
output = self.conv_act(input)
output = self.dconv(output)
output = self.conv_bn(output)
if input.size()[1] != output.size()[1]:
input = self.res_module(input)
if input.size()[2] != output.size()[2]:
input = self.stride_module(input)
output = input + output
return output
class Efficient_stem(nn.Module):
def __init__(self, in_channels, out_channels):
super(Efficient_stem, self).__init__()
self.conv = Conv2dBnAct(in_channels=in_channels, out_channels=out_channels, kernel_size=3, stride=2, dilation=1,
groups=1, padding_mode='zeros', act=Swish())
def forward(self, input):
return self.conv(input)
class _EfficientNet_B0(nn.Module):
def __init__(self, in_channels, classes):
super(_EfficientNet_B0, self).__init__()
self.stem_block = Efficient_stem(in_channels=in_channels, out_channels=32)
# Block_num, in_channels, kernel_size, out_channels, stride
layer1 = [ # Resolution 112 x 112
[1, 32, 3, 16, 1], [6, 16, 3, 24, 1], [6, 24, 3, 24, 2]
]
layer2 = [ # Resolution 56 x 56
[6, 24, 5, 40, 1], [6, 40, 5, 40, 2]
]
layer3 = [ # Resolution 28 x 28
[6, 40, 3, 80, 1], [6, 80, 3, 80, 1], [6, 80, 3, 80, 2]
]
layer4 = [ # Resolution 14 x 14
[6, 80, 5, 112, 1], [6, 112, 5, 112, 1], [6, 112, 5, 112, 1],
[6, 112, 5, 192, 1], [6, 192, 5, 192, 1], [6, 192, 5, 192, 1], [6, 192, 5, 192, 2]
]
layer5 = [
[6, 192, 3, 320, 1]
]
self.layer1 = Make_Layers(layer1)
self.layer2 = Make_Layers(layer2)
self.layer3 = Make_Layers(layer3)
self.layer4 = Make_Layers(layer4)
self.layer5 = Make_Layers(layer5)
self.classification = nn.Sequential(
Conv2dBnAct(in_channels=320, out_channels=1280, kernel_size=1),
nn.AdaptiveAvgPool2d(1),
nn.Conv2d(1280, classes, 1)
)
def forward(self, input):
stem_out = self.stem_block(input)
s1 = self.layer1(stem_out)
s2 = self.layer2(s1)
s3 = self.layer3(s2)
s4 = self.layer4(s3)
s5 = self.layer5(s4)
pred = self.classification(s5)
b, c, _, _ = pred.size()
pred = pred.view(b, c)
stages = [s1, s2, s3, s4, s5]
return {'stage':stages, 'pred':pred}
def EfficientNet(in_channels, classes=1000, varient=0):
if varient == 0:
model = _EfficientNet_B0(in_channels=in_channels, classes=classes)
weight_initialize(model)
return model
if __name__ == '__main__':
model = EfficientNet(in_channels=3, classes=1000, varient=0)
model(torch.rand(1, 3, 224, 224))반응형
'Reading Paper > Classification Networks' 카테고리의 다른 글
| MicroNet: Towards Image Recognition with Extremely Low FLOPs (0) | 2022.01.17 |
|---|---|
| MnasNet: Platform-Aware Neural Architectures Search for Mobile (0) | 2022.01.13 |
| Designing Network Design Spaces (0) | 2022.01.03 |
| GhostNet: More Features from Cheep Operations (0) | 2021.12.31 |
| Searching for MobileNetV3 (0) | 2021.12.29 |
Comments