| 일 | 월 | 화 | 수 | 목 | 금 | 토 |
|---|---|---|---|---|---|---|
| 1 | ||||||
| 2 | 3 | 4 | 5 | 6 | 7 | 8 |
| 9 | 10 | 11 | 12 | 13 | 14 | 15 |
| 16 | 17 | 18 | 19 | 20 | 21 | 22 |
| 23 | 24 | 25 | 26 | 27 | 28 | 29 |
| 30 |
- 파이토치 김성훈 교수님 강의 정리
- c언어 정리
- 케라스 정리
- pytorch
- 골빈해커
- 파이토치
- 컴퓨터 비전
- c++
- 모두의 딥러닝 예제
- pytorch zero to all
- 딥러닝 공부
- 모두의 딥러닝
- 팀프로젝트
- 영상처리
- matlab 영상처리
- tensorflow 예제
- c++공부
- Pytorch Lecture
- c언어
- 딥러닝 스터디
- object detection
- 해리스 코너 검출
- 딥러닝
- 가우시안 필터링
- 미디언 필터링
- TensorFlow
- MFC 프로그래밍
- 파이토치 강의 정리
- 김성훈 교수님 PyTorch
- C언어 공부
- Today
- Total
ComputerVision Jack
[모두의 딥러닝 Chapter12] 본문
[12-0 rnn-basics]
RNN엔 Cell에 대한 기본적인 접근
h = [1, 0, 0, 0]
e = [0, 1, 0, 0]
l = [0, 0, 1, 0]
o = [0, 0, 0, 1]
#실습에 사용될 hello에 대한 one-hot 인코딩 적용
with tf.variable_scope('one_cell') as scope:
# One cell Rnn input_dim(4) -> output_dm(2)
hidden_size = 2
cell = tf.keras.layers.SimpleRNNCell(units = hidden_size)
print(cell.output_size, cell.state_size)
x_data = np.array([[h]], dtype = np.float32) #x_data = [[[1, 0, 0, 0]]]
pp.pprint(x_data)
outputs, _states = tf.nn.dynamic_rnn(cell, x_data, dtype = tf.float32)
sess.run(tf.global_variables_initializer())
pp.pprint(outputs.eval())
입력 shape은 입력 데이터의 차원을 따르지만 출력은 hidden_size를 통하여 내가 스스로 정할 수 있다.
RNN의 Cell을 만든 후에 dynamic_rnn을 통하여 cell을 구동한다.
with tf.variable_scope('two_sequances') as scope:
# One cell RNN input_dim(4) -> output_dim(2), sequence = 5
hidden_size = 2
cell = tf.keras.layers.SimpleRNNCell(units = hidden_size)
x_data = np.array([[h, e, l, l, o]], dtype = np.float32)
print(x_data.shape)
pp.pprint(x_data)
outputs, _states = tf.nn.dynamic_rnn(cell, x_data, dtype = tf.float32)
sess.run(tf.global_variables_initializer())
pp.pprint(outputs.eval())
#시퀀스 데이터가 추가된 상태 (1, 5, 4)의 shape을 따른다.
(5 = hello이므로 5개의 시퀀스이며, 4는 h e l o의 shape이다)

with tf.variable_scope('3_batches') as scope:
# One cell RNN input_dim(4) -> output_dim(2), sequence : 5, batch : 3
x_data = np.array([[h, e, l, l, o],
[e, o, l, l, l],
[l, l, e, e, l]], dtype = np.float32)
pp.pprint(x_data)
hidden_size = 2
cell = tf.nn.rnn_cell.LSTMCell(num_units = hidden_size, state_is_tuple = True)
outputs, _states = tf.nn.dynamic_rnn(cell, x_data, dtype = tf.float32)
sess.run(tf.global_variables_initializer())
pp.pprint(outputs.eval())
#입력에 따른 시퀀스 데이터 확인

with tf.variable_scope('initial_state') as scope:
batch_size = 3
x_data = np.array([[h, e, l, l, o],
[e, o, l, l, l],
[l, l, e, e, l]], dtype=np.float32)
pp.pprint(x_data)
# One cell RNN input_dim (4) -> output_dim (5). sequence: 5, batch: 3
hidden_size=2
cell = tf.nn.rnn_cell.LSTMCell(num_units=hidden_size, state_is_tuple=True)
initial_state = cell.zero_state(batch_size, tf.float32)
outputs, _states = tf.nn.dynamic_rnn(cell, x_data,
initial_state=initial_state, dtype=tf.float32)
sess.run(tf.global_variables_initializer())
pp.pprint(outputs.eval())
#배치 사이즈를 적용하여 생성한다.

따라서 Cell의 shape에 대하여 ( num1, num2, num3) 경우
num1 : 배치 사이즈를 설정
num2 : 시퀀스 데이터
num3 : 입력 데이터 shape
으로 알 수 있다.
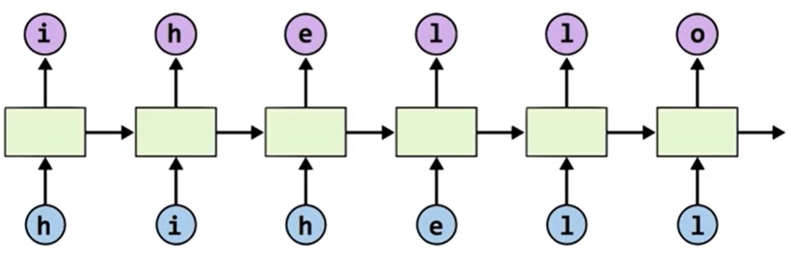
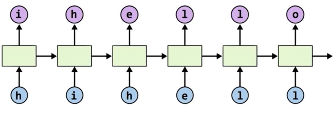
[12-1 hello-rnn]
hihello rnn 학습

idx2char = ['h', 'i', 'e', 'l', 'o']
#필요한 문자열을 셋팅한다.
x_data = [[0, 1, 0, 2, 3, 3]]
x_one_hot = [[[1, 0, 0, 0, 0],
[0, 1, 0, 0, 0],
[1, 0, 0, 0, 0],
[0, 0, 1, 0, 0],
[0, 0, 0, 1, 0],
[0, 0, 0, 1, 0]]]
y_data = [[1, 0, 2, 3, 3, 4]]
#데이터를 준비한다. x_data는 one_hot을 적용하고 y_data는 index로 설정해서 준비한다.
num_classes = 5
input_dim = 5
batch_size = 1
hidden_size = 5
sequence_length = 6
learning_rate = 0.1
#하이퍼 파라미터 설정
X = tf.placeholder(tf.float32, [None, sequence_length, input_dim])
Y = tf.placeholder(tf.int32, [None, sequence_length])
#배치 사이즈와 입력 dimension, sequence_length를 설정한다. (배치, 시퀀스, 입력) - (None, 6, 5)
cell = tf.contrib.rnn.BasicLSTMCell(num_units = hidden_size, state_is_tuple = True)
initial_state = cell.zero_state(batch_size, tf.float32)
outputs, _states = tf.nn.dynamic_rnn(cell, X, initial_state = initial_state, dtype = tf.float32)
#셀을 제작 한다. 출력 사이즈 (출력값 = 5)
x_for_fc = tf.reshape(outputs, [-1, hidden_size])
outputs = tf.contrib.layers.fully_connected(inputs = x_for_fc, num_outputs = num_classes, activation_fn = None)
outputs = tf.reshape(outputs, [batch_size, sequence_length, num_classes])
#출력 결과의 shape을 바꿔준다.
weights = tf.ones([batch_size, sequence_length])
sequence_loss = tf.contrib.seq2seq.sequence_loss(logits = outputs, targets = Y, weights= weights)
loss = tf.reduce_mean(sequence_loss)
train = tf.train.AdamOptimizer(learning_rate = learning_rate).minimize(loss)
#마찬가지로 cost함수를 설정하고 optimizer를 설정한다.
cost 경우 sequence별로 적용되는 것을 알 수 있다.
prediction = tf.argmax(outputs, axis =2)
#정확도를 알수 있게 설정한다.
with tf.Session() as sess:
sess.run(tf.global_variables_initializer())
for i in range(50):
l, _ = sess.run([loss, train], feed_dict={X: x_one_hot, Y: y_data})
result = sess.run(prediction, feed_dict={X: x_one_hot})
print(i, "loss:", l, "prediction: ", result, "true Y: ", y_data)
result_str = [idx2char[c] for c in np.squeeze(result)]
print("\tPrediction str: ", ''.join(result_str))
#실질적으로 학습을 적용하고, 마지막 출력에 대해서 인덱스에 맞는 알파벳을 가져온다.
[12-2 char-seq-rnn]
if you want 예제. 공백까지 인덱스에 추가해야 한다.
sample = "if you want"
idx2char = list(set(sample)) # incdex -> char
char2idx = {c : i for i, c in enumerate(idx2char)}
#알파벳 단위로 중복을 배제하고 찢은 후, 인덱스를 적용한다.
dic_size = len(char2idx)
hidden_size = len(char2idx)
num_classes = len(char2idx)
batch_size = 1
sequence_length = len(sample) - 1
learning_rate = 0.1
#하이퍼 파라미터를 설정한다.
sample_idx = [char2idx[c] for c in sample]
x_data = [sample_idx[: -1]]
y_data = [sample_idx[1: ]]
#x_data와 y_data를 설정한다.
if you want에 대해 다음에 매칭 될 글자는 f you want이다. 따라서 그에 맞게 슬라이싱을 적용하여 데이터에 넣는다.
x_one_hot = tf.one_hot(X, num_classes)
cell = tf.contrib.rnn.BasicLSTMCell(num_units=hidden_size, state_is_tuple=True)
initial_state = cell.zero_state(batch_size, tf.float32)
outputs, _states = tf.nn.dynamic_rnn(cell, x_one_hot, initial_state=initial_state, dtype=tf.float32)
#cell을 생성하고 dynamic_rnn()으로 구동한다.
outputs = tf.reshape(outputs, [batch_size, sequence_length, num_classes])
#생성된 output에 대하여 shape을 변경한다.
one_hot으로 분류한 것을 다시 모아 인덱스로 포장한다.
weights = tf.ones([batch_size, sequence_length])
sequence_loss = tf.contrib.seq2seq.sequence_loss(logits=outputs, targets=Y, weights=weights)
loss = tf.reduce_mean(sequence_loss)
train = tf.train.AdamOptimizer(learning_rate=learning_rate).minimize(loss)
#cost와 optimizer를 구현한다.
prediction = tf.argmax(outputs, axis=2)
#정확도 판별을 위한 준비
with tf.Session() as sess:
sess.run(tf.global_variables_initializer())
for i in range(50):
l, _ = sess.run([loss, train], feed_dict={X: x_data, Y: y_data})
result = sess.run(prediction, feed_dict={X: x_data})
result_str = [idx2char[c] for c in np.squeeze(result)]
print(i, "loss:", l, "Prediction:", ''.join(result_str))
#실질적으로 학습을 시키고 학습 과정중 출력의 인덱스에 맞게 알파벳을 매칭한다.

[12-3 char-seq-softmax-only]
알파벳으로 분류시키기 때문에 flatten을 적용하여 softmax를 시킨다.
sample = "if you want you"
idx2char = list(set(sample))
char2idx = {c: i for i, c in enumerate(idx2char)}
#기존 처럼 데이터 준비
dic_size = len(char2idx)
rnn_hidden_size = len(char2idx)
num_classes = len(char2idx)
batch_size = 1
sequence_length = len(sample) - 1
learning_rate = 0.1
#하이퍼 파라미터 설정
X_one_hot = tf.one_hot(X, num_classes)
X_for_softmax = tf.reshape(X_one_hot, [-1, rnn_hidden_size])
#softmax에 들어갈 수 있게 data를 flatten하여 준비한다.
softmax_w = tf.get_variable("softmax_w", [rnn_hidden_size, num_classes])
softmax_b = tf.get_variable("softmax_b", [num_classes])
outputs = tf.matmul(X_for_softmax, softmax_w) + softmax_b
#softmax로 구현한다.
outputs = tf.reshape(outputs, [batch_size, sequence_length, num_classes])
weights = tf.ones([batch_size, sequence_length])
#outputs을 rnn식으로 reshape한다.
sequence_loss = tf.contrib.seq2seq.sequence_loss(logits=outputs, targets=Y, weights=weights)
loss = tf.reduce_mean(sequence_loss) # mean all sequence loss
train = tf.train.AdamOptimizer(learning_rate=learning_rate).minimize(loss)
#cost함수와 optimizer을 적용한다.
[12-4 rnn_long_char]
long sentence에 대하여 rnn 적용하기
sentence = ("if you want to build a ship, don't drum up people together to "
"collect wood and don't assign them tasks and work, but rather "
"teach them to long for the endless immensity of the sea.")
char_set = list(set(sentence))
char_dic = {w: i for i, w, in enumerate(char_set)}
#데이터 셋 준비하기
data_dim = len(char_set)
hidden_size = len(char_set)
num_classes = len(char_set)
sequence_length = 10
learning_rate = 0.1
#하이퍼 파라미터 준비
윈도우 사이즈
dataX = []
dataY = []
for i in range(0, len(sentence) - sequence_length):
x_str = sentence[i : i + sequence_length]
y_str = sentence[i + 1 : i + sequence_length + 1]
print(i, x_str, ' -> ', y_str)
x = [char_dic[c] for c in x_str]
y = [char_dic[c] for c in y_str]
dataX.append(x)
dataY.append(y)
batch_size = len(dataX)
#윈도우 사이즈 지정하여 윈도우를 움직이면서 패턴을 추출한다.
def lstm_cell():
cell = rnn.BasicLSTMCell(hidden_size, state_is_tuple = True)
return cell
multi_cells = rnn.MultiRNNCell([lstm_cell() for _ in range(2)], state_is_tuple= True)
outputs, _states = tf.nn.dynamic_rnn(multi_cells, X_one_hot, dtype = tf.float32)
#cell 준비하고 dynamic_rnn()으로 구동한다.
sequence_loss = tf.contrib.seq2seq.sequence_loss(logits=outputs, targets=Y, weights=weights)
mean_loss = tf.reduce_mean(sequence_loss)
train_op = tf.train.AdamOptimizer(learning_rate=learning_rate).minimize(mean_loss)
#cost함수와 optimizer을 준비한다.
for i in range(500):
_, l, results = sess.run(
[train_op, mean_loss, outputs], feed_dict={X: dataX, Y: dataY})
for j, result in enumerate(results):
index = np.argmax(result, axis=1)
print(i, j, ''.join([char_set[t] for t in index]), l)
#패턴을 학습시킨다.
results = sess.run(outputs, feed_dict={X: dataX})
for j, result in enumerate(results):
index = np.argmax(result, axis=1)
if j is 0:
print(''.join([char_set[t] for t in index]), end='')
else:
print(char_set[index[-1]], end='')
#학습 결과 패턴에 맞게 데이터를 join하여 문장을 완성해 나아간다.

[12-5 rnn_stock_prediction]
시계열 데이터(주식)에 rnn 적용 회귀 문제
def MinMaxScalar(data):
numerator = data - np.min(data, 0)
denominator = np.max(data, 0) - np.min(data, 0)
return numerator / (denominator + 1e-7)
#값의 고른 분포를 위한 minMax설정
xy = np.loadtxt('data-02-stock_daily.csv', delimiter=',')
xy = xy[::-1]
#데이터 읽어와서 준비
train_size = int(len(xy) * 0.7)
train_set = xy[0: train_size]
test_set = xy[train_size - seq_length : ]
train_set = MinMaxScalar(train_set)
test_set = MinMaxScalar(test_set)
#train set과 test set을 분리하고 MinMaxScale()함수에서 데이터 전처리
def build_dataset(time_series, seq_length):
dataX = []
dataY = []
for i in range(0, len(time_series) - seq_length):
_x = time_series[i:i + seq_length, :]
_y = time_series[i + seq_length, [-1]] # Next close price
print(_x, "->", _y)
dataX.append(_x)
dataY.append(_y)
return np.array(dataX), np.array(dataY)
#윈도우 사이즈 만큼 데이터를 패턴화 시켜 학습하기 위한 준비
cell = tf.contrib.rnn.BasicLSTMCell(
num_units=hidden_dim, state_is_tuple=True, activation=tf.tanh)
outputs, _states = tf.nn.dynamic_rnn(cell, X, dtype=tf.float32)
Y_pred = tf.contrib.layers.fully_connected(outputs[:, -1], output_dim, activation_fn=None)
#cell과 dynamic_rnn 준비
loss = tf.reduce_sum(tf.square(Y_pred - Y))
optimizer = tf.train.AdamOptimizer(learning_rate)
train = optimizer.minimize(loss)
#최적화와 cost함수 준비
with tf.Session() as sess:
init = tf.global_variables_initializer()
sess.run(init)
# Training step
for i in range(iterations):
_, step_loss = sess.run([train, loss], feed_dict={
X: trainX, Y: trainY})
print("[step: {}] loss: {}".format(i, step_loss))
# Test step
test_predict = sess.run(Y_pred, feed_dict={X: testX})
rmse_val = sess.run(rmse, feed_dict={
targets: testY, predictions: test_predict})
print("RMSE: {}".format(rmse_val))
#학습하여 결과 도출
'DeepLearning > DL_ZeroToAll' 카테고리의 다른 글
| [모두의 딥러닝 Chapter11] (0) | 2020.01.23 |
|---|---|
| [모두의 딥러닝 Chapter10] (0) | 2020.01.22 |
| [모두의 딥러닝 Chapter09] (0) | 2020.01.21 |
| [모두의 딥러닝 Chapter08] (0) | 2020.01.20 |
| [모두의 딥러닝 Chapter07] (0) | 2020.01.19 |