| 일 | 월 | 화 | 수 | 목 | 금 | 토 |
|---|---|---|---|---|---|---|
| 1 | ||||||
| 2 | 3 | 4 | 5 | 6 | 7 | 8 |
| 9 | 10 | 11 | 12 | 13 | 14 | 15 |
| 16 | 17 | 18 | 19 | 20 | 21 | 22 |
| 23 | 24 | 25 | 26 | 27 | 28 | 29 |
| 30 |
Tags
- object detection
- TensorFlow
- 해리스 코너 검출
- 미디언 필터링
- Pytorch Lecture
- 가우시안 필터링
- 파이토치 강의 정리
- c++공부
- 딥러닝 공부
- 케라스 정리
- pytorch zero to all
- c언어 정리
- 딥러닝
- 김성훈 교수님 PyTorch
- 딥러닝 스터디
- 영상처리
- MFC 프로그래밍
- 팀프로젝트
- 모두의 딥러닝
- 골빈해커
- 파이토치
- 모두의 딥러닝 예제
- C언어 공부
- matlab 영상처리
- tensorflow 예제
- 파이토치 김성훈 교수님 강의 정리
- c언어
- pytorch
- 컴퓨터 비전
- c++
Archives
- Today
- Total
ComputerVision Jack
[컴퓨터 비전 개요] 본문
반응형
컴퓨터 비전 개요
컴퓨터 비전은 컴퓨터를 이용하여 정지 영상 또는 동영상으로부터 의미있는 정보를 추출하는 방법을 연구
컴퓨터가 사람처럼 동등한 인지 작업을 할수 있게 만든다.
영상으로부터 유용한 정보를 추출하고, 이를 조합하여 결과를 유추한다.
컴퓨터 비전에서 주로 활용하는 영상 정보는 밝기, 색상, 모양, 텍스처등이 있다.
따라서 이들 정보와 머신러닝 알고리즘을 함께 사용하여 사물을 인지할 수 있다.
영상의 구조와 표현 방법
영상을 구성하는 최소 단위 픽셀(pixel)
픽셀은 사진과 요소를 뜻하는 영단어로 유래되었으며 화소라고 부른다.
(즉 2000만 화소 = 2000만 개의 픽셀로 이루어짐)
하나의 픽셀은 하나의 밝기 또는 색상을 표현한다. 이러한 픽셀이 모여 2차원 영상을 구성한다.
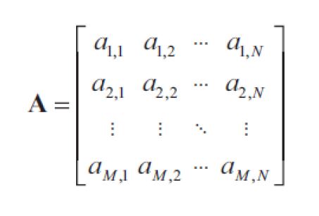
영상은 2차원 평면위에 픽셀 값이 나열된 형태이기 때문에 영상을 2차원 행렬로 표현할 수 있다.

그레이스케일 영상과 컬러영상
컴퓨터 비전 분야에서는 주로 그레이스케일 영상(grayscale image)과 트루 컬러 영상(truecolor image)을 사용함
그레이 스케일 영상은 흐백 사진처럼 오직 밝기 정보만으로 구성된 영상
그레이 스케일 영상은 밝기 정보를 256단계로 구분하여 표현한다.
(즉 픽셀은 0부터 255사이의 정수 값을 가질 수 있다. 커질수록 밝은색)
트루 컬러 영상은 R, G, B 세개의 색상 성분 조합으로 픽셀 값을 표현함
각각의 색상 성분은 0부터 255사이의 정수 값으로 표현
하나의 픽셀은 unsigned char 자료형 세 개를 이용하여 표현 가능 [ R, G, B]
반응형
'Image Processing > Computer Vision' 카테고리의 다른 글
| [컴퓨터 비전 - 필터링] (0) | 2020.01.28 |
|---|---|
| [컴퓨터 비전 - 영상의 연산] (0) | 2020.01.22 |
| [컴퓨터 비전 - 영상 밝기와 명암비] (2) | 2020.01.20 |
| [컴퓨터 비전 - openCV주요 기능] (0) | 2020.01.17 |
| [컴퓨터 비전 - opencv기본] (0) | 2020.01.15 |
Comments