| 일 | 월 | 화 | 수 | 목 | 금 | 토 | 
|---|---|---|---|---|---|---|
| 1 | ||||||
| 2 | 3 | 4 | 5 | 6 | 7 | 8 | 
| 9 | 10 | 11 | 12 | 13 | 14 | 15 | 
| 16 | 17 | 18 | 19 | 20 | 21 | 22 | 
| 23 | 24 | 25 | 26 | 27 | 28 | 29 | 
| 30 | 
- 팀프로젝트
 - c언어 정리
 - 모두의 딥러닝 예제
 - 모두의 딥러닝
 - 영상처리
 - pytorch zero to all
 - C언어 공부
 - 미디언 필터링
 - 파이토치
 - 딥러닝 공부
 - 가우시안 필터링
 - c언어
 - TensorFlow
 - 컴퓨터 비전
 - 파이토치 김성훈 교수님 강의 정리
 - 골빈해커
 - tensorflow 예제
 - 해리스 코너 검출
 - 딥러닝 스터디
 - 딥러닝
 - 김성훈 교수님 PyTorch
 - 파이토치 강의 정리
 - c++공부
 - matlab 영상처리
 - pytorch
 - 케라스 정리
 - MFC 프로그래밍
 - object detection
 - c++
 - Pytorch Lecture
 
- Today
 
- Total
 
ComputerVision Jack
[영상처리 - 특징값 추출] 본문
마스크를 이용한 엣지 검출
엣지(Edege) : 배경과 객체의 경계가 되는 부분(픽셀의 밝기 값이 급격하게 변함)

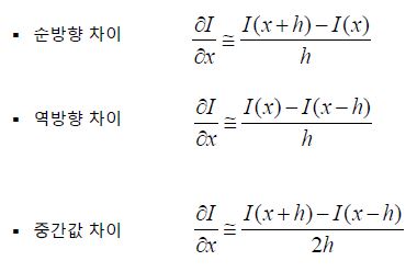
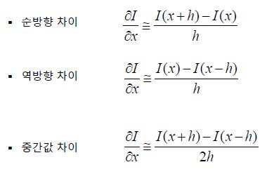
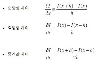
엣지는 함수의 1차 미분을 사용하여 구할 수 있다.
1차 미분을 이용한 근사화
- 순반향 차이
 - 역방향 차이
 - 중간값 차이
 

중간값 차이를 오류가 적어서 가장 많이 사용한다.
또한 엣지 검출에 다양한 마스크가 존재한다.


케니 엣지 검출기
좋은 엣지 검출기의 조건
1. 정확한 검출 : 오류 최소화 (엣지가 아닌 점을 엣지로 검출)
2. 정확한 위치 : 실제 엣지의 중심을 찾아야한다.
3. 단일 엣지 : 엣지의 두께는 한 픽셀이 되어야 한다.
[케니엣지 실행 순서]
가우시안 필터링 - 그레디언트 계산(크기 & 방향) - 비최대 억제 - 히스테리시스 엣지 트래킹
가우시안 필터링을 들어가서 연산할 때, 초기 시그마 값에 의한 영향을 많이 받는다.
블러 정도에 따라 엣지 판별이 다르기 때문이다.
비최대억제(Non - maximum suppression)
경사도 크기가 지역 최대점(local maximum)인 픽셀만 엣지로 설정
단일 엣지가 되기 위함
경사도의 방향을 고려하여 지역 최대점 검사
히스테리시스 엣지 트래킹
두개의 임계값 사용. high, low
강한 엣지 : 경사도 크기가 high보다 큰 픽셀 (최종엣지)
약한 엣지 : 경사도 크기가 low와 high사이에 있는 픽셀. (강한 엣지와 연결되어 있는 픽셀이 최종 엣지)

허프 변환(Hough Transform)
직선 검출 (원 검출도 느낌은 비슷하다)
도메인을 변환하여 직선을 검출하는 방식

2차원 영상 좌표에서 직선 방정식을 파라미터 공간으로 변환 (축적배열 접근)

파라미터 공간으로 변화후, 많은 직선의 교점이 생기는 부분의 값이 찾고자 하는 값이다.
이를 축적 배열로 살 펴 볼 수 있다.
직선이 지나가는 점에 +1씩 누적하여 가장 max값을 갖는 지점이 직선의 도메인

해리스 코너 검출
코너 : 영상 내에 정의된 윈도우 안의 픽셀값이 상하 좌우 방향으로 급격하게 변화는 위치



'Image Processing > C++ opencv Lib' 카테고리의 다른 글
| [영상처리 - 영상 분할] (0) | 2020.01.29 | 
|---|---|
| [영상처리 - 컬러 영상 처리] (0) | 2020.01.28 | 
| [영상처리 - 기하학적 변환] (0) | 2020.01.21 | 
| [영상처리 - 공간적 필터링] (0) | 2020.01.19 | 
| [영상처리 - 영상의 연산] (0) | 2020.01.16 |