| 일 | 월 | 화 | 수 | 목 | 금 | 토 |
|---|---|---|---|---|---|---|
| 1 | ||||||
| 2 | 3 | 4 | 5 | 6 | 7 | 8 |
| 9 | 10 | 11 | 12 | 13 | 14 | 15 |
| 16 | 17 | 18 | 19 | 20 | 21 | 22 |
| 23 | 24 | 25 | 26 | 27 | 28 | 29 |
| 30 |
- 영상처리
- C언어 공부
- 골빈해커
- tensorflow 예제
- c++공부
- 김성훈 교수님 PyTorch
- 컴퓨터 비전
- 파이토치 김성훈 교수님 강의 정리
- 딥러닝 스터디
- 미디언 필터링
- pytorch zero to all
- MFC 프로그래밍
- 딥러닝
- 파이토치
- c++
- TensorFlow
- 모두의 딥러닝 예제
- Pytorch Lecture
- 케라스 정리
- object detection
- c언어 정리
- c언어
- 팀프로젝트
- matlab 영상처리
- 모두의 딥러닝
- 딥러닝 공부
- 파이토치 강의 정리
- 해리스 코너 검출
- 가우시안 필터링
- pytorch
- Today
- Total
ComputerVision Jack
[컴퓨터 비전 - 지역 특징점 검출과 매칭] 본문
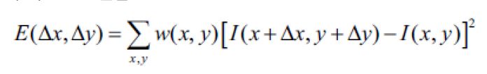
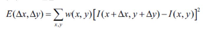
해리스 코너 검출
영상의 특징
영상으로 부터 추출할 수 있는 정보를 뜻한다.
밝기 정보, 히스토그램, 에지, 직선 성분, 코너 등이 있다.
지역 특징 : 영상 전체가 아닌 일부 영역에서 추출할 수 있는 특징
코너(corner)
엣지의 방향이 급격하게 변하는 부분.
엣지나 직선 성분 등의 다른 지역 특징에 비해 분별력이 높고 대체로 영상 전 영역에 골고루 분포한다.
해리스 코너 검출


void cornerHarris(InputArray src, OutputArray dst, int blockSize, int ksize, double k,
int borderType = BORDER_DEFAULT);
#해리스 코너 응답함수 값을 계산하는 함수

FAST코너 검출
해리스 코너는 수학적으로 코너의 특성을 정의함. 하지만 연산 속도에서 느리다.
FAST(Feature from Accelerated Segment Test) 검출은 단순한 픽셀 값을 비료하여 코너로 검출한다.
16개의 주변 픽셀과 밝기 값을 비교하여 코너 여부를 판단한다.

void FAST(InputArray image, std::vector<KeyPoint>& keypoints, int hreshold,
bool nonmaxSuppression = true);
#FAST코너 검출하는 함수

영상 이어 붙이기
여러 장의 영상을 서로 이어 붙여서 하나의 큰 영상을 만드는 기법
파라노마 영상
영상을 이어 붙이기 할 땐, 영상은 서로 일정 비율 이상 겹치는 영역이 존재햐아한다.
static Ptr<Sticher> Stitcher::create(Mode mode = Stitcher::PANORAMA);
#영상을 이어 붙이려면 Stitcher객체 생성



영상 3개를 Stitcher 객체를 이용하여 이어 붙이기

'Image Processing > Computer Vision' 카테고리의 다른 글
| [컴퓨터 비전 - 머신 러닝] (0) | 2020.02.10 |
|---|---|
| [컴퓨터 비전 - 지역 특징점 검출과 매칭2] (0) | 2020.02.07 |
| [컴퓨터 비전 - 객체 검출] (0) | 2020.02.04 |
| [컴퓨터 비전 - 레이블링과 외각선 검출] (0) | 2020.02.03 |
| [컴퓨터 비전 - 이진화 & 모폴로지] (0) | 2020.01.31 |